SHAKESPEARE WROTE THAT ALL THE WORLD’S A STAGE.
HIS THEATER WAS CALLED THE GLOBE.
NOT ONLY WAS THAT LINE PHILOSOPHICAL AND DEEP,
BUT IT WAS ALSO A FUCKING PUN.
Author: chris
-
-
Last night a man asked me for a dollar as I left the subway on my way home. I gave him one.
He then proceeded to start talking to me and followed me for ten minutes as I tried to walk home. He ignored my repeated attempts to part ways and made comments about my body, his body and allude to us having sex. He asked personal questions about my life. He asked if I was married. I told him that I had a boyfriend, not because I owed him any answer, but my past experience has shown that these type of men, when hearing you are ‘taken’ often will leave you alone out of respect, not for you of course, but for the man who already ‘has’ you.
He walked all the way to the block I lived, talking away, moving closer to my side while I clutched my keys, splayed out between my fingers in one pocket and my cell phone in the other, mind frantically going over my options to get out of this situation. How to get away from this man without angering him. How to get into my apartment without him seeing where I lived.
When I turned the corner of my block I saw that the bodega was open. I told him I had to go to the store and said, again, good night. He followed me into the store, where with witnesses and the store owner who knows my face I had to courage to tell him to stop following me. That I didn’t want him to know where I lived. To go away.
He called me a bitch.
The store owner made him stay in the store long enough for me to dart across the street, duck into my apartment, and lock the door behind me.
I’ve spent most of today going over in my head what I did wrong to get into this situation.
I was stupid to give him a dollar. To speak to him after. To let him walk with me so far. To be so concerned with being polite.
But what that really boils down to is that I, my entire life, have been told that being a woman in public is asking for attention, and once received it is my fault in some way.
I don’t owe anybody conversation, my number, my time. It’s not a complement.
The truly insidious thing about harassment is that in the moment, the potential violence, quiet, persistent and vague threat combine with a world of people telling you that if something bad happens to you it’s YOUR fault. The conditioning women receive to be ‘nice’, be polite, smile for goodness sake (lest, horrors of all horrors we become that horrendous monster, a bitch). All this is why we accept being uncomfortable, being afraid, why we consider how our keys could be used as a weapon.
The man called me a bitch, and my biggest regret today is that I wasn’t a bigger one.
A friend posted this on Facebook yesterday. Personally, I am so sick of rape culture and what it’s doing to us. (via thearetical) -
A memorial erected in Vancouver sparked controversy because it was dedicated to “all women murdered by men”, which critics say implies all men are potential murderers.[79] As a result, women involved in the project received death threats[…].
wikipedia page for the École Polytechnique massacre
men are violent against women, and when women point this out, they are threatened with more violence
(via fawnbro)
-
Saw a gif of a crab shedding its skin. Reversed it.
Now I wish I hadn’t.

Crab doing a zombie crab cosplay
-
I felt so angry at the UCSB massacre (an article about this incident and a script of his video’s speech) and the sexism we’re blind to everyday so I drew about my opinions on sexism to channel my rage.
I’m very happy the #YesAllWomen tag is going strong on U.S. Twitter right now. 😀
Oh my god. I had no idea this happened.
-
-
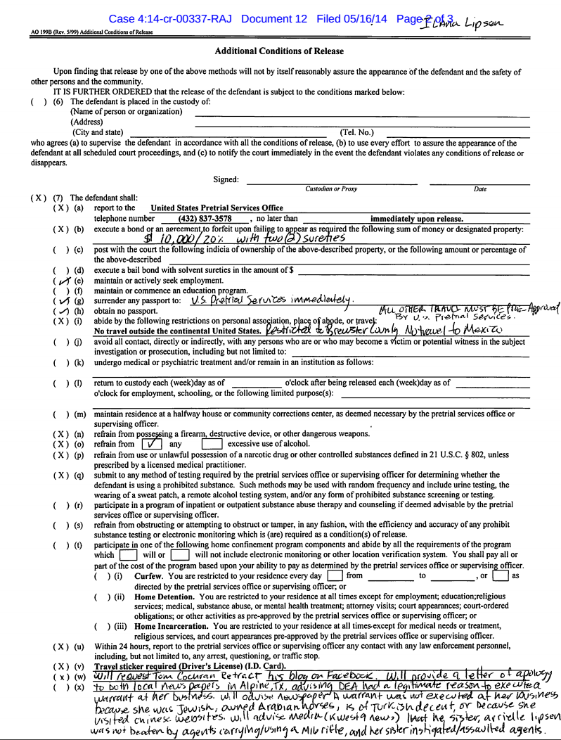
I just got the bond conditions for Arielle and her sister Ilana. There’s a handwritten note at the bottom of this page that says:
“The defendant shall: Will request Tom Cochran retract his blog on Facebook. Will provide a letter of apology to both local newspapers in Alpine, TX, advising DEA had a legitimate reason to execute a warrant at her business. Will advise news paper a warrant was not executed at her business because she was Jewish, owned Arabian horses, is of Turkish decent or because she visited Chinese websites. Will advise media (KWest 9 news) that her sister, Arielle Lipsen, was not beaten by agents carrying/using a M16 rifle, and her sister instigated/assaulted agents.”
So in order to get out of jail, Ilana had to squash her sister’s only defense. She was pretty much asked to pay $10,000 and make a false statement in order to get out of jail. Ilana complied and wrote the letter, which the Brewster County Sheriff’s office then posted to their Facebook page (for some reason??)
These don’t seem like bond conditions…this is like blackmail. There are witnesses to the raid and Arielle’s assault. And HELLO did you see her neck? This is not ok.
Arielle is in desperate need of a good lawyer. Spread the word.
This is beyond fucked up.
I don’t see how this is constitutional, at all.
-
IT JUST WANTS TO WEAR THE HAT
“NO SON OF MINE IS GONNA WEAR PEOPLE HATS”
cant stop laughing
-
what if the coins you find randomly at the bottom of drawers and in between couch cushions are actually from spiders trying to pay rent

This explains everything.
-











