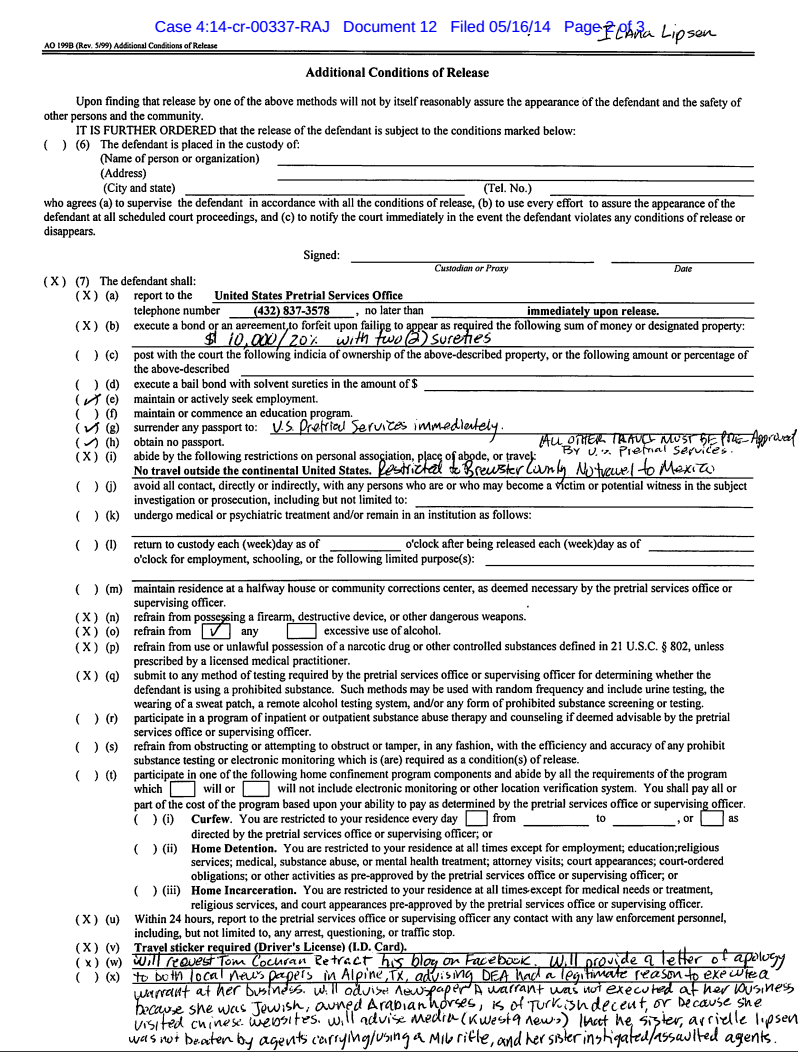
I just got the bond conditions for Arielle and her sister Ilana. There’s a handwritten note at the bottom of this page that says:
“The defendant shall: Will request Tom Cochran retract his blog on Facebook. Will provide a letter of apology to both local newspapers in Alpine, TX, advising DEA had a legitimate reason to execute a warrant at her business. Will advise news paper a warrant was not executed at her business because she was Jewish, owned Arabian horses, is of Turkish decent or because she visited Chinese websites. Will advise media (KWest 9 news) that her sister, Arielle Lipsen, was not beaten by agents carrying/using a M16 rifle, and her sister instigated/assaulted agents.”
So in order to get out of jail, Ilana had to squash her sister’s only defense. She was pretty much asked to pay $10,000 and make a false statement in order to get out of jail. Ilana complied and wrote the letter, which the Brewster County Sheriff’s office then posted to their Facebook page (for some reason??)
These don’t seem like bond conditions…this is like blackmail. There are witnesses to the raid and Arielle’s assault. And HELLO did you see her neck? This is not ok.
Arielle is in desperate need of a good lawyer. Spread the word.
This is beyond fucked up.
I don’t see how this is constitutional, at all.

Leave a Reply